近日,六合彩现场直播 郑冀鲁副教授(第一作者)、机电六合彩现场直播 朱铭强教授(通讯作者)在生物能源研究领域取得新进展,研究论文发表于可再生能源领域双一流B类国际权威期刊RENEWABLE & SUSTAINABLE ENERGY REVIEWS,题目为Life cycle assessment and techno-economic analysis of fuel ethanol production via bio-oil fermentation based on a centralized-distribution model,该研究得到了国家重点研发计划(2018YFE0127000)的资助。
生物乙醇一直是生物能源研究领域的热点和重点,传统的生物乙醇制备路线基于木质纤维素水解-发酵工艺,该工艺能耗、水耗、药剂消耗大,成本高,阻碍了生物乙醇的商业化发展。针对此问题,论文作者基于快速热解技术的高效性与普适性,设计了木质纤维素生物质经快速催化热解转化为富含内醚糖的生物油,分离纯化内醚糖,内醚糖直接发酵为生物乙醇或内醚糖水解为葡萄糖再发酵为生物乙醇的工艺路线,并对该工艺路线进行了工业流程建模,依据技术经济分析与从原料到工厂(cradle to gate)的生命周期评价方法,详细分析计算了在工业化生产场景下,该工艺路线的总投资、生产成本、内部收益率(IRR)、最小销售价格(MSP)以及生产1 kg生物乙醇排放的二氧化碳当量(GWP100a)、消耗的一次能源总量(CED)、产生的综合环境损害(EI-99)。

基于热解糖发酵制备生物乙醇
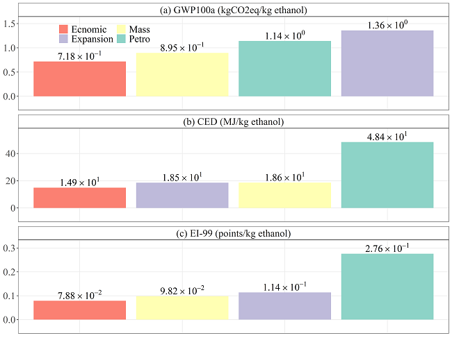
作者首先假设有33个小型热解工厂分布于广大乡村区域,每个小型热解工厂接受附近收集运输来的生物质(60吨生物质/天/厂,65万吨生物质/年),分别热解转化为生物油并高效分离为糖相、油相、水相,然后每个热解工厂将生物油各相运输至一个生物油中心工厂,糖相以直接发酵或间接发酵方式转化为生物乙醇(主产品),油相聚合转化为环保胶黏剂(副产品),水相中和转化为缓释氮肥(副产品)。依据物料衡算和能量衡算,作者计算了从生物质原料收集到生产乙醇全生产过程的原料、助剂、柴油、电力、加热蒸汽消耗,三废排放以及产品产量。其中生物乙醇产量4万吨/年(直接发酵方式),11万吨/年(间接发酵方式),副产品环保胶黏剂产量15万吨/年,缓释氮肥产量18万吨/年。然后进一步的技术经济分析计算表明,采用糖相间接发酵方式的生产过程具有更好的经济性和环保性。整个生产过程的内部收益率可达0.41,生产的生物乙醇的最小销售价格为$264/吨。相比于生物质水解路线乙醇、生物质气化路线乙醇,内部收益率分别增加1.7倍、4.3倍。相比于市售石化乙醇价格,最小销售价格降低50%。最后,生命周期评价计算表明(副产品分配方法采用按照产品的经济价值进行分配),每生产1 kg生物乙醇,排放0.718 kg二氧化碳当量,累计消耗一次能源14.9 MJ,产生的环境综合损害为0.0788分。与采用石化路线生产1 kg乙醇相比较,二氧化碳当量排放降低37%,一次能源消耗降低69%,环境综合损害降低30%。

热解糖间接发酵制备生物乙醇的生命周期评价结果
本研究为生物乙醇的规模商业化生产提供了一条良好的参考路径,有助于生物能源的产业化发展。
论文链接://doi.org/10.1016/j.rser.2022.112714
CopyRight 2021 版权所有 六合彩现场直播-六合彩开奖现场直播 地址:陕西省杨凌区邰城路3号 邮编:712100 电话:029-87082230 029-87082216 主管领导:刘晴蕊 技术支持:绿道软件